北理工团队在单原子催化剂局域结构调控及二氧化碳还原研究中取得进展
发布日期:2024-01-12 供稿:材料学院 陈文星 摄影:材料学院
编辑:牟雪娇 审核:程兴旺 阅读次数:1月,北京理工大学材料学院能源催化研究所陈文星课题组与北京化工大学、西湖大学团队合作,在非对称配位单原子催化剂研究中取得重要进展。相关研究成果以“A Thermal Replacement Strategy to Regulate the Local Coordination Environment of Single Atom Co−SxN4−x (x="""0,1,2,3)""" Catalysts and Their Application in CO2Electroreduction”为题在国际顶级期刊《Nature Communications》上发表。北京理工大学陈文星副教授、北京化工大学庄仲滨教授和西湖大学王涛教授为论文共同通讯作者。
单原子催化剂(SAC)作为具有独特配位环境和高原子利用率的新型催化剂,在热催化和电化学催化中都显示出巨大的潜力。要设计高性能的SAC,不仅需要考虑金属单原子的种类,还需要考虑金属位点的局部配位环境,目前,合成具有可调节配位环境的SAC仍具有较高的挑战性。
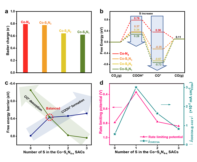
为了解决这个问题,陈文星课题组成功设计了一种热置换策略来微调SAC的局部配位环境,并成功合成了一系列具有可控局域结构的非对称配位单原子催化剂Co−SxN4−x(x=""0,1,2,3)。首先生成对称的Co-N4,然后在高温下用S取代N,形成S取代的Co−SxN4−xSAC,这种逐步置换的过程实现了对SAC局部配位环境的精确控制。基于这些Co−SxN4−x SAC样品,可以探索电催化CO2RR的构效关系,研究发现,非对称Co−S1N3结构的催化剂具有最优的COOH*和CO*吸附,因此具有最高的CO2还原制备CO性能。特别地,在410 mV的低过电位下法拉第效率(FECO)高达98%,TOF达到4564 h−1,超过了多数已报道的单原子催化剂。

图1 Co−SxN4−x SACs的合成策略和形貌表征
作者利用同步辐射硬X射线吸收近边结构(XANES)和傅立叶变换扩展X射线吸收精细结构(FT-EXAFS)研究了所获得的Co−SxN4−x SAC的局部配位环境。在不同S/N配位数的Co−SxN4−x上发现了电子调谐效应,表明其对局部配位环境具有较强的敏感性。另外,通过XPS对SAC的化学环境进行了研究,发现S原子通过这种热置换策略可以成功地结合到碳基底中,有效调控样品的局部电子结构。

图2 Co−SxN4−x SAC的局域结构解析
作者评估了Co-N4、Co-S1N3、Co-S2N2和Co-S3N1 SAC在CO2饱和的0.5M KHCO3的H型池中的CO2RR性能,以研究不同局域配位结构对性能的影响。发现不同硫配位数的单原子Co−SxN4−x (x="""0,1,2,3)呈现火山型CO2RR活性趋势,并且非对称配位Co−S1N3结构更接近火山型曲线的顶部,对CO2RR表现出最高本征活性。

图3 Co−SxN4−x SACs的电催化CO2RR的原位谱学表征

图4 Co-SxN4-x SAC的理论计算能量图
该研究课题得到了国家自然科学基金(22375019)和北京理工大学科技创新计划创新人才科技资助专项的支持。
分享到:
